|
曝光台 注意防骗 网曝天猫店富美金盛家居专营店坑蒙拐骗欺诈消费者
ANN是基于人脑神经网络对信息处理分类的一种简化模拟,由大量的神经元节点连接构成,通过调整网络结构、网络连接方式、节点激活函数和节点间权值进而对输出进行调整。根据训练结构特点可分为前馈网络、反馈网络和竞争学习网络。人工神经网络通过训练具有良好的联想记忆能力,且具有高精度、高并行性、非线性、良好的容错性和泛化性等优点,不足之处是需要大量训练样本和一定的硬件基础,且需要人为经验来设置参数。
4 基于候选区域的图像目标检测框架
4.1基于多尺度形变部件模型
多尺度形变部件模型(Deformable Part Model, DPM)算法是一种基于部件的检测算法,曾多次获得PASCAL VOC(Visual Object Class)挑战赛冠军,是深度学习出现之前应用最广泛、效果最好的目标检测算法。DPM由滑动窗口、改进的HOG特征和SVM分类器组合而成,如图4所示。
![]() 图4 DPM流程图
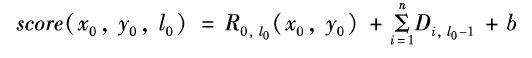
DPM算法通过构建高斯金字塔,在多尺度空间进行检测,每一尺度层的DPM模型包含一个根模型和几个可变部件模型,根模型的分辨率是可变部件模型的1/2。目标检测的结果由模型与待匹配特征之间的相似度确定,相似度越高则检测分数越高,检测窗口得分公式为:
![]() 其中,score(x0,y0,l0)表示l0尺度空间中锚点为(x0,y0)窗口的分数,R0,l0(x0,y0)为l0中根模型相似度得分,为l0中多个可变部件模型得分和,b为偏差值。
DPM目标检测框架具有以下优势:
(1)采用高斯金字塔多尺度空间检测,保证了尺度不变性;
(2)HOG特征提取算法对光照变化、细小形变具有较好的鲁棒性;
(3)部件模型的提出降低了遮挡、形变等因素对目标检测的影响。
4.2基于卷积神经网络
基于卷积神经网络的目标检测框架有很多,而基于候选区域的卷积神经网络目标检测框架起步最早、应用最成熟,且具有较高的准确率,其中具有代表性的是RCNN,具体步骤如下:
(1)候选区域检测阶段:应用上文介绍的Selective Search算法对侦察影像进行区域选择;
(2)特征提取阶段:将提取的所有候选区域进行归一化处理,通过训练过的深度卷积神经网络进行特征提取;
(3)分类阶段:将特征输入多个SVM二分类器中,判断是否属于该类别。
随着深度学习结构的不断优化,学者们将卷积神经网络贯穿包括特征提取在内的整个基于候选区域的目标检测过程中,先后出现了SPP-Net、Fast-RCNN、Faster-RCNN等框架,大大提高了目标检测的实时性、鲁棒性和准确性。
5 结束语
针对无人机侦察影像目标检测问题,提供了一种基于候选区域的无人机侦察影像目标检测思路,对其三个主要步骤:候选区域检测、特征提取、分类器展开了分析与总结,最后归纳了两种主流的基于候选区域的目标检测框架。理论分析表明,该方法具有较强的实用性与应用价值,为无人机侦察影像目标检测算法的研究与改进提供理论研究基础。下一步将对框架中各步骤介绍的算法进行试验对比,提出一种快速鲁棒的无人机侦察影像目标检测算法。
中国通航网 www.ga.cn
通航翻译 www.aviation.cn
本文链接地址:基于候选区域的无人机侦察影像目标检测技术研究(3)
|






